Hiking the Rippled Niabrara Sandstones

Hiking the extensive trail system that connects Red Rocks Park with Section 16, west of Colorado Springs, one encounters an impressive array of ripple-marked sandstones, a beach back in the Mesozoic, now dipping at almost 90°. The so-called “White Acres Trail” should have been named “Ripple Mark Trail.” The steep east-facing slope of the hogback seems to be Niabrara sandstone, but is backed on the west by Dakota SS, both of which form hogbacks. But how about these classic ripple marks?

New Moths for 2020

Like everything else in 2020, mothing wasn’t great for me in the Pikes Peak Region. I wasn’t able to distinguish additional species from the few moth photos posted to Arthropods Colorado and Wyoming, and I’m sure I missed some. But on a single trip up Bear Creek in early August I discovered two species of moths new to my database. The first (above) is probably Hellinsia homodactylus, a Pterophorid, and the second (below) is Glyphipteryx montisella, a Gelechiid, nectaring with a few tiny flower beetles.

Abundance Trends in Butterflies of the Pikes Peak Region

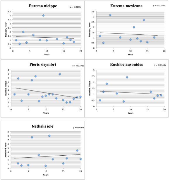
(This is the last in a series on this subject. Earlier graphs are replaced herein).

Modern research shows a precipitous decline in insect numbers worldwide in response to climate change and agricultural practices. For the frightening details, see the Guardian’s overview of the major reports (https://www.theguardian.com/environment/2019/feb/10/plummeting-insect-numbers-threaten-collapse-of-nature). The current study adds data to this general question, and includes 232 visits to the site (Bear Creek) across 21 sampling years from 1998 through 2020.

Observations were made along a haphazard transect (a road) about 1 km long from the caretaker’s house at the parking lot to the Specimen Rock trailhead and about 150 m beyond. The average hike spanned between 1½ and 2 hours, and the sampling time was recorded in every case.

Forty-six species were chosen from the 125 that have been found at the site. These species are generally widespread, found almost every year, and do not tend to produce population explosions. Formerly rare species such as Amblyscirtes eos, Brephidium exile, Junonia coenia, and Adelpha eulalia were excluded because they are moving into the region in numbers as of the last five to seven years. These, of course, show increasing numbers.

Butterfly abundances are recorded in terms of numbers observed per hour, and the average for each year is recorded for graphing purposes. Thus, the graphs show the annual average abundances as a function of years. Slopes are plotted for each data set, and although none of the effects approach linear, the slopes are shown to address the general trends across the years. The broad scatter is due to many factors, including climatic and weather conditions, experimental error, and the natural fluctuations of populations.

Most butterfly species in the American West are highly adaptable to wide swings in weather conditions, making them resilient against changes in climate. Regional land use is generally innocuous in terms of butterfly dynamics, neither encouraging nor discouraging population development. In comparison with agricultural regions, Pikes Peak has generally escaped the deleterious affects of pesticides, herbicides, and monocultural practices. Nevertheless, populations are beginning to show a slow decline across all butterfly families, the overall average slope being y = – 0.028x, suggesting a very slight decline in numbers across the 20 years.

Disturbance at the site has been minimal and unchanged until the spring of 2020, when a mitigation effort was initiated to assist in the management of the protected green-backed cutthroat trout. The changes affected mainly the upper south slope, destroying a significant stand of Monarda fistulosa, a mint, the flowers of which are highly attractive to butterflies, especially some members of the family Hesperiidae and the Nymphalid genus Speyeria. The numbers of these groups were not affected in 2020, probably due to the numerous other nectar sources available. Graphic results follow.

HESPERIIDAE:

Mean slope : y = – 0.0292x

PAPILIONIDAE:

Mean slope : y = – 0.0124x

PIERIDAE:

Mean slope: y = – 0.046x

LYCAENIDAE:

Mean slope: y = – 0.077x

NYMPHALIDAE:

Mean slope: y = – o.oo64x

The interpretation of these data is difficult, of course, but the general trend is that butterfly populations are stable across this period. Out of the 46 species studied, 32 (70%) show negative trends. The very slight downward slope is suggestive and holds for every group. Other studies (posts below) show a loss of total numbers of butterflies, and a loss of species diversity across the same time period.

Butterflies of the Pikes Peak Region

Screen Shot 2019-08-18 at 6.03.57 PM

Pyrgininae

Screen Shot 2019-08-18 at 4.55.29 PM

HesperiinaeScreen Shot 2019-08-18 at 5.08.14 PM

PapilionidaeScreen Shot 2019-08-18 at 5.10.54 PM

PieridaeScreen Shot 2019-08-18 at 5.26.43 PM

Lycaenidae 1Screen Shot 2019-08-20 at 8.37.49 AM

Lycaenidae 2Screen Shot 2019-08-18 at 5.32.17 PM

NymphalinaeScreen Shot 2019-08-18 at 5.35.40 PM

Melit. & Arg.Screen Shot 2019-08-18 at 5.41.12 PM

SatyriinaeScreen Shot 2019-08-18 at 5.43.42 PM

Addendum: Here are species that I didn’t have on pins.Screen Shot 2019-08-25 at 12.08.02 PM.png

Screen Shot 2019-08-25 at 12.07.45 PM.png

Screen Shot 2019-08-25 at 12.08.18 PM.png

Screen Shot 2019-08-25 at 12.08.34 PM.png

Screen Shot 2019-08-25 at 12.08.50 PM.png

Screen Shot 2019-08-25 at 12.09.03 PM.png

Screen Shot 2019-08-25 at 12.09.21 PM.png

These are 164 of the 206 species that have been recorded in El Paso County. Many of the rest are rare strays, but we may see them more commonly as the climate warms. Adelpha bredowi, for example, used to be a rare stray, but it shows up almost every year now in the region. I will continue to add to this set as new photos come in from the Pikes Peak Region, with your permission, of course.

More on the Insect Apocalypse

Here are the results from two sweep samples of insects taken ten years apart at exactly the same location on the Section 16 Trail west of Colorado Springs. In both cases, 100 sweeps were made. In this area, which is relatively undisturbed in terms of regular application of pesticides, herbicides, and insecticides, total numbers of insects seem very similar after ten years. T-Tests, both one-tailed and two-tailed, show p values that do not suggest significance. I chose a date one week later in 2019, as the season appears a bit behind average in terms of butterfly emergence dates.

Screen Shot 2019-07-15 at 9.04.59 AM

The Rocks of Palisade Sill

DSC07273.jpgFor those not tuned in to Southwest Geology, a sill is an igneous intrusive that has inserted itself parallel to the surrounding strata (a dike runs at angles to the strata). Palisade Sill is a huge intrusive in northern New Mexico between Raton and Taos on Highway 64. You won’t miss it when you head west into the canyon out of Cimarron. The sill is made of Monzonite, which is on the continuum between syenite (very light in color) and diorite (medium in color) and has plagioclase and orthoclase feldspars in approximately equal amounts. In short, it is a lighter than granite, but generally similar.

My favorite aspect of this imposing formation is that the joint systems are at nearly right angles, which leaves enormous faces and a ragged, blocky crest at the skyline. And, of course, lots of rubble along the stream below. Here are some images of the crestline.DSC07299.jpeg

DSC07252.jpg

DSC07255.jpg

DSC07254.jpg

DSC07281.jpg

DSC07266.jpg

DSC07275.jpg

Screen Shot 2018-09-23 at 4.49.59 PM.png

DSC07295.jpg

DSC07289.jpg

DSC07270.jpg

DSC07264.jpg

DSC07283.jpg

DSC07263.jpg

DSC07259.jpg

DSC07296.jpeg

Letting Go

After 33 years of collecting moths in the Pikes Peak Region, I finally have begun to let it go to the C. P. Gillette Museum in Fort Collins at Colorado State University. The first installment, 36 drawers of mostly Noctuidae (the owlet moths) were shrink-wrapped and dispatched on August 29. One drawer is shown here.9.jpg

And here is the first load.IMG_2410.jpg

And in their new home.Screen Shot 2018-09-01 at 10.46.16 AM.png

Many more to go in the next few weeks. Sad to see them go, but I know that they’re in a better place. (!)